即期利率(Spot Rate)是指债券票面所标明的利率或购买债券时所获得的折价收益与债券面值的比率。它是某一给定时点上无息证券的到期收益率。
债券有两种基本类型:有息债券和无息债券。购买政府发行的有息债券,在债券到期后,债券持有人可以从政府得到连本带利的一次性支付,这种一次性所得收益与本金的比率就是即期利率。购买政府发行的无息债券,投资者可以低于票面价值的价格获得,债券到期后,债券持有人可按票面价值获得一次性的支付,这种购入价格的折扣额相对于票面价值的比率则是即期利率。
即期利率的公式
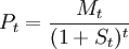
t年期即期利率的计算公式:
Pt是t年期无息债券的当前市价,Mt是到期价值,St是t年期即期利率。
债券有两种基本类型:有息债券和无息债券。购买政府发行的有息债券,在债券到期后,债券持有人可以从政府得到连本带利的一次性支付,这种一次性所得收益与本金的比率就是即期利率。购买政府发行的无息债券,投资者可以低于票面价值的价格获得,债券到期后,债券持有人可按票面价值获得一次性的支付,这种购入价格的折扣额相对于票面价值的比率则是即期利率。
即期利率的公式
t年期即期利率的计算公式:




