到期收益率 (Yield To Maturity,简称YTM),又称“满期收益率”、“到期殖利率”(简称为殖利率)
所谓到期收益,是指将债券持有到偿还期所获得的收益,包括到期的全部利息。到期收益率又称最终收益率,是投资购买国债的内部收益率,即可以使投资购买国债获得的未来现金流量的现值等于债券当前市价的贴现率。
它相当于投资者按照当前市场价格购买并且一直持有到满期,同时再投资率(市场利率)保持不变时可以获得的年平均收益率。
到期收益率的公式
设F为债券的面值,C为按票面利率每年支付的利息,Pv为债券当前市场价格,r为到期收益率,则:
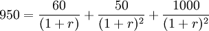
例题:如果票面金额为1000元的两年期债券,第一年支付60元利息,第二年支付50元利息,现在的市场价格为950元,求该债券的到期收益率为多少?
YTM=r=8.34%
所谓到期收益,是指将债券持有到偿还期所获得的收益,包括到期的全部利息。到期收益率又称最终收益率,是投资购买国债的内部收益率,即可以使投资购买国债获得的未来现金流量的现值等于债券当前市价的贴现率。
它相当于投资者按照当前市场价格购买并且一直持有到满期,同时再投资率(市场利率)保持不变时可以获得的年平均收益率。
到期收益率的公式
设F为债券的面值,C为按票面利率每年支付的利息,Pv为债券当前市场价格,r为到期收益率,则:


例题:如果票面金额为1000元的两年期债券,第一年支付60元利息,第二年支付50元利息,现在的市场价格为950元,求该债券的到期收益率为多少?




