固定收益敏感度敞口计量指标是久期和凸度。久期是指债券的加权平均到期时间,债券在每个息票支付日被视为“部分”到期。如果所有影响债券变动的利率都发生相同百分比的变化,久期指的就是债券价格对利率这一变化的敏感性。假设我们选择债券的收益率y, 指定债券价格为B,收益率变化为Δy,则债券的收益率或价格变化百分比大致:
ΔB / B≈- D Δy / (1+y)
其中D是久期。在此表达式中,很容易看出久期确实反映了债券价格对收益率的敏感性,尽管有一个限制性前提,即假设所有利率均会发生同一变化。
这里的关系是近似的。该公式基于以下假设得出:收益率变化极小。当收益率变化相对较大时,久期无法准确捕捉债券价格的变动。因此,在以上表达式中,Δy指的是收益率微小的变化。
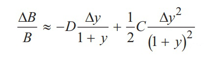
在一段较长的时间内,这种关系将变得不太准确,因为随着时间的变化,Δy将会变得更大。为了更精确地对敏感性进行描述,我们可以引入凸性的概念,记作C。凸性描述债券久期对利率变化的敏感性。凸度的表达式如下:

凸度是风险计量中常用的风险指标,用于收益率变化较大、持有其较长的情景。久期和凸度是固定收益风险管理中必不可少的工具,风险经历可以通过这两个参数评估在给定利率变化下固定收益投资组合的潜在损失。



